长辈版
无障碍
繁体中文
您的位置:
首页
> 北杨寨行管区
>
巩固拓展脱贫攻坚成果同乡村振兴有效衔接领域
>
财政衔接推进乡村振兴补助资金
>
资金年度计划
信息分类:
内容分类:
资金年度计划
发文日期:
2022-08-01 09:02:27
生成日期:
2022-08-01 09:02:27
生效时间:
废止时间:
发布机构:
北杨寨行管区
文 号:
名 称:
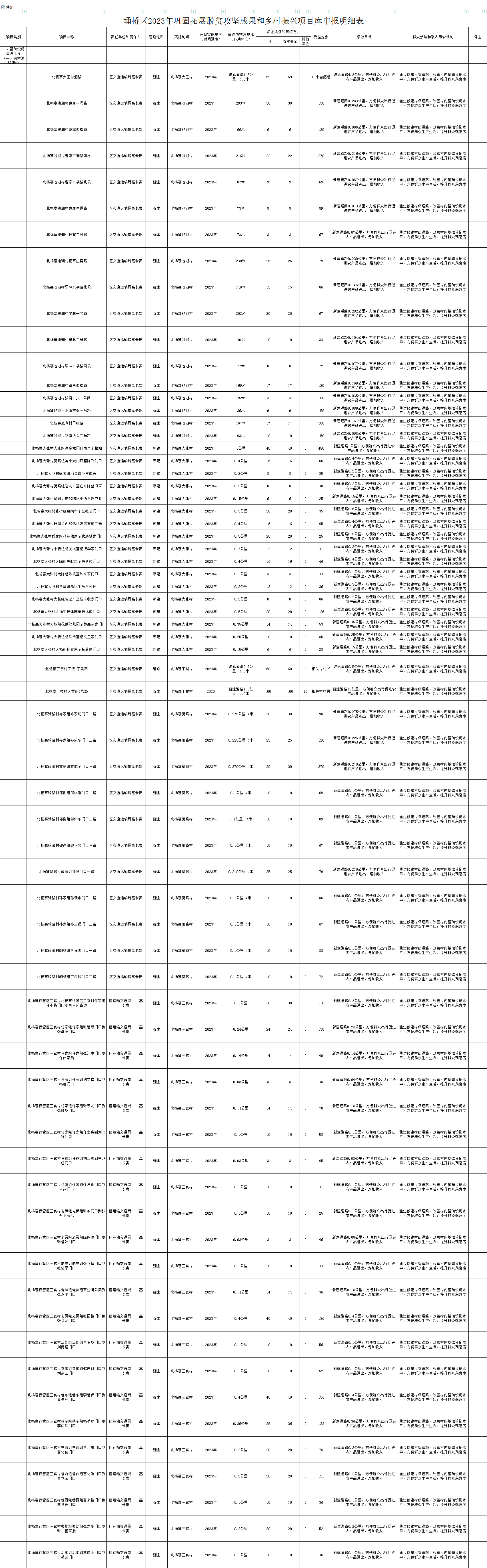
埇桥区2023年巩固拓展脱贫攻坚成果和乡村振兴项目库申报明细表
关
键
词:
埇桥区2023年巩固拓展脱贫攻坚成果和乡村振兴项目库申报明细表
文章来源: 北杨寨行管区
浏览量:
发表时间:2022-08-01 09:02
责任编辑: 北杨寨行管区
字体大小:
【
大
中
小
】
map