您的位置:首页> 芦岭镇人民政府 > 社会救助领域 > 最低生活保障
信息分类: 内容分类: 最低生活保障
发文日期: 2023-11-09 11:20:09 生成日期: 2023-11-09 11:20:09
生效时间: 废止时间:
发布机构: 芦岭镇人民政府 文  号:
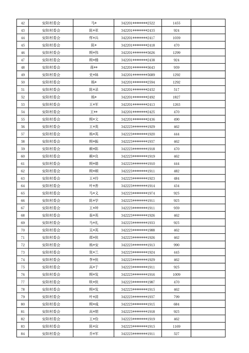
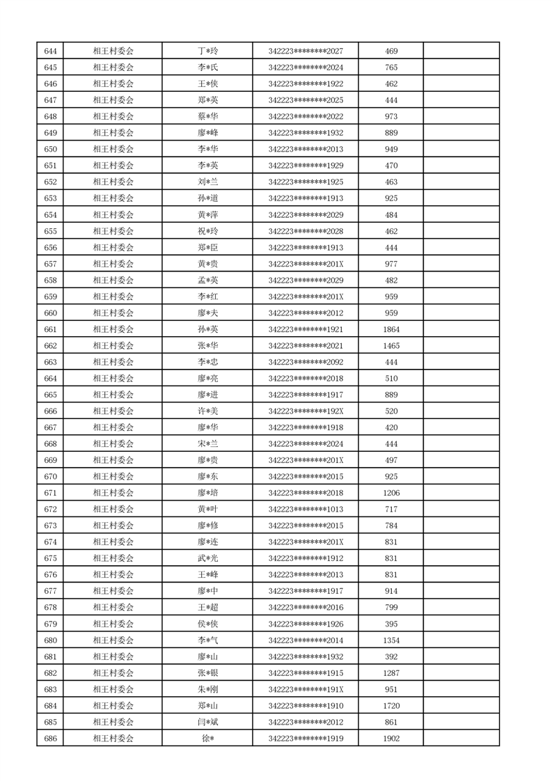
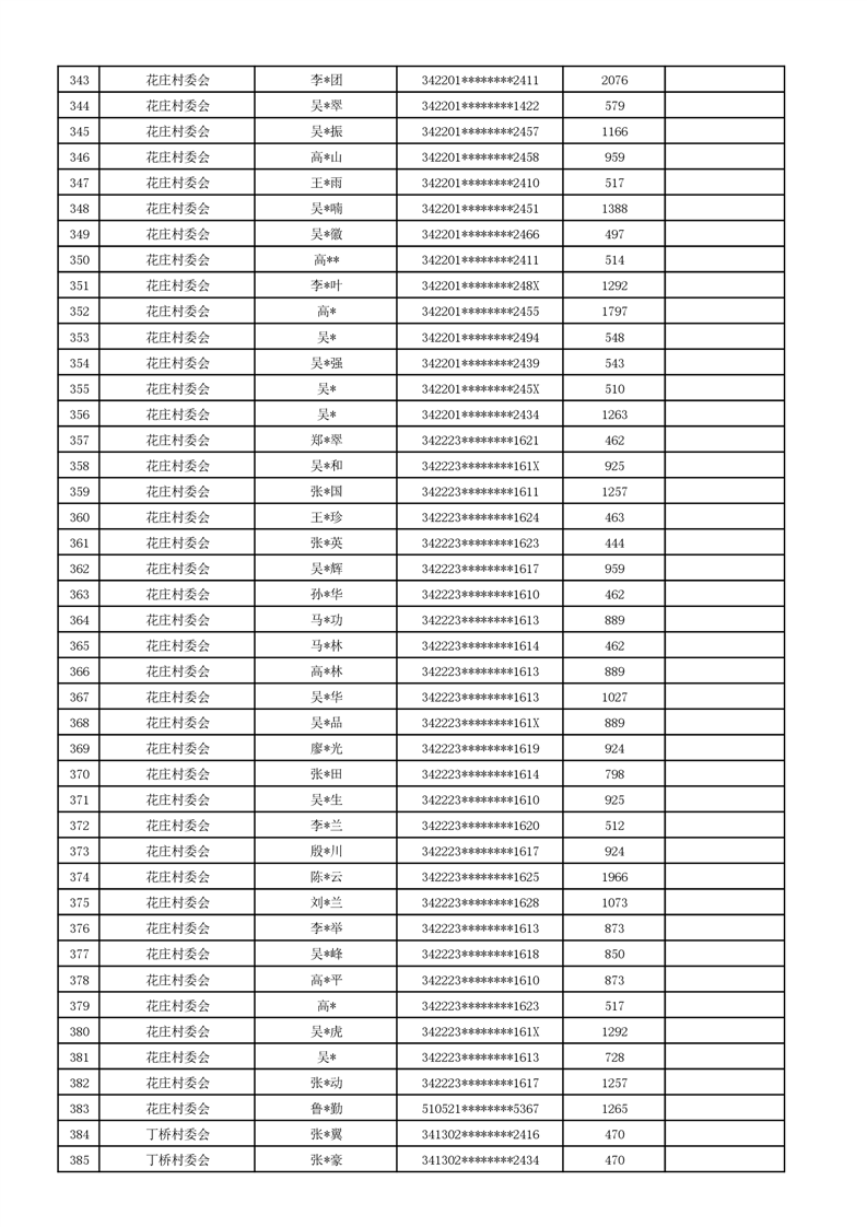
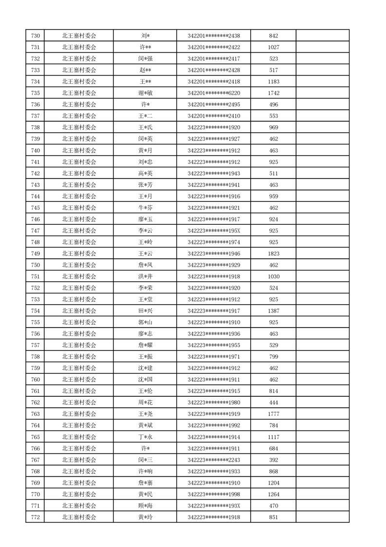
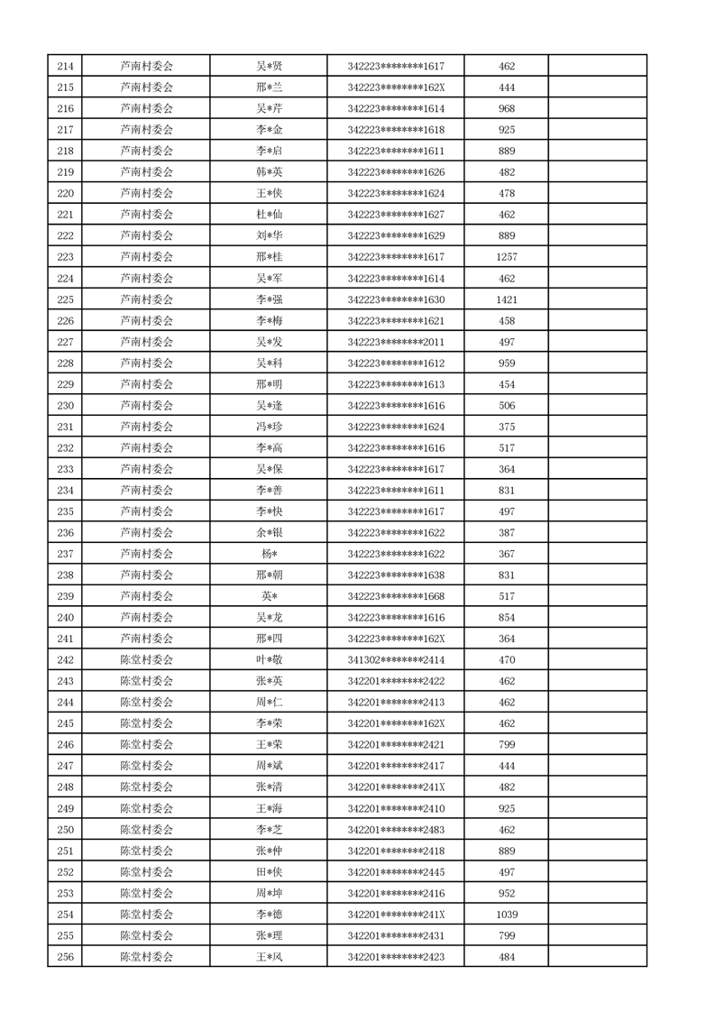
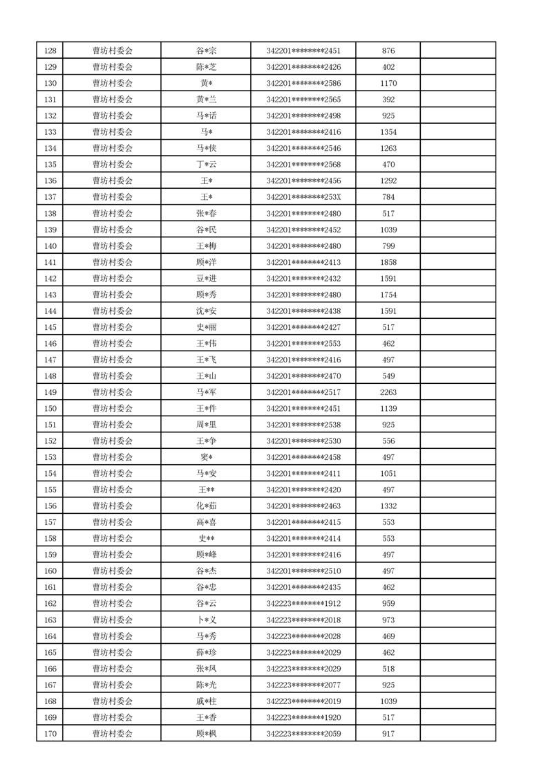
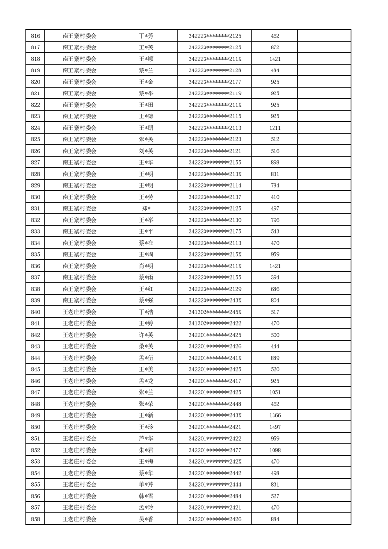
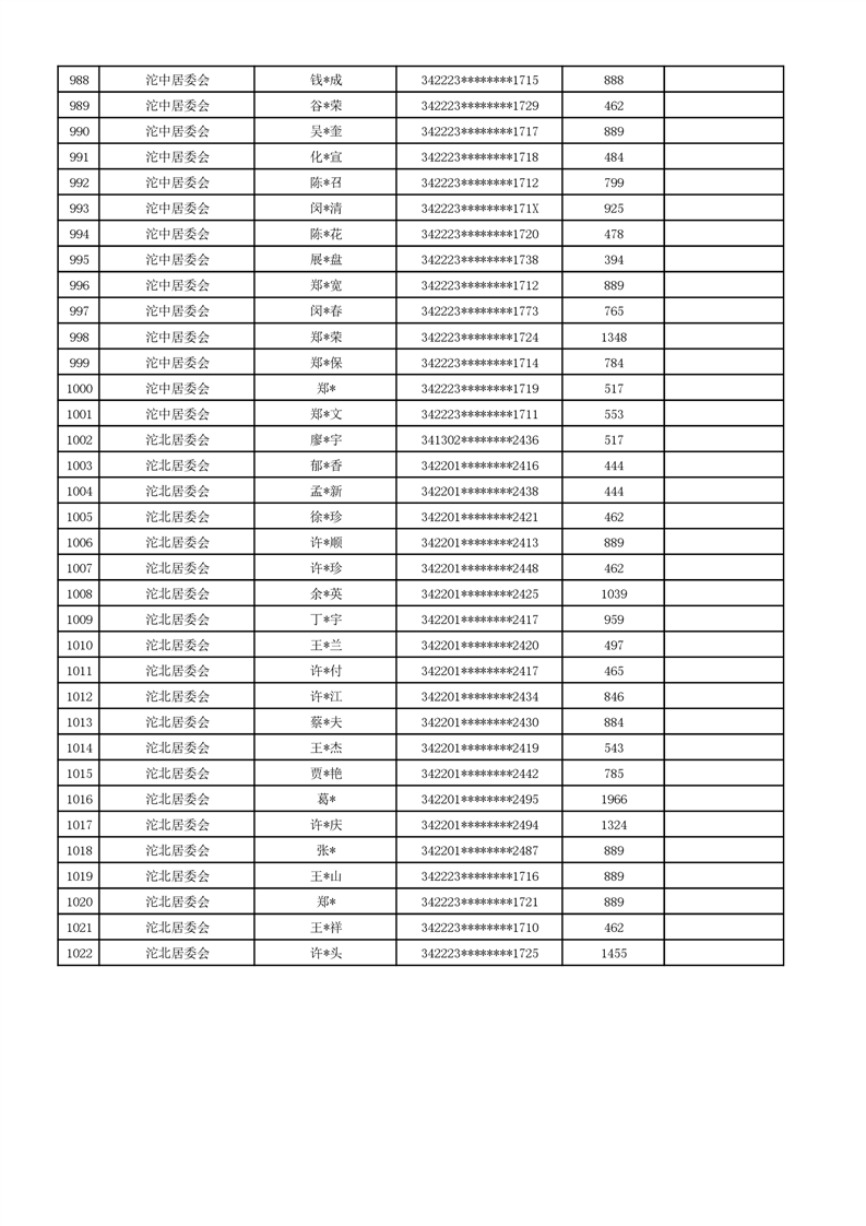
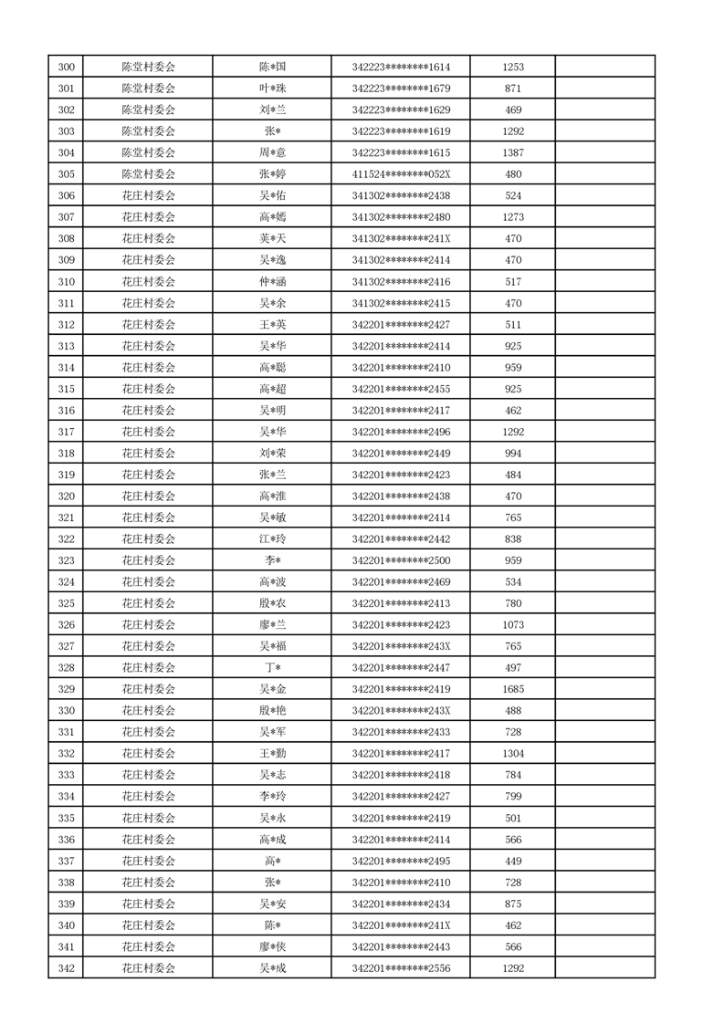
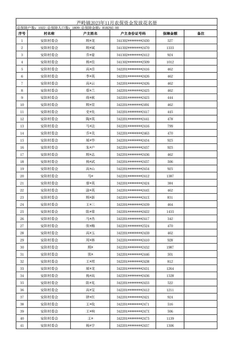
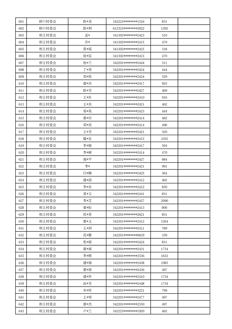
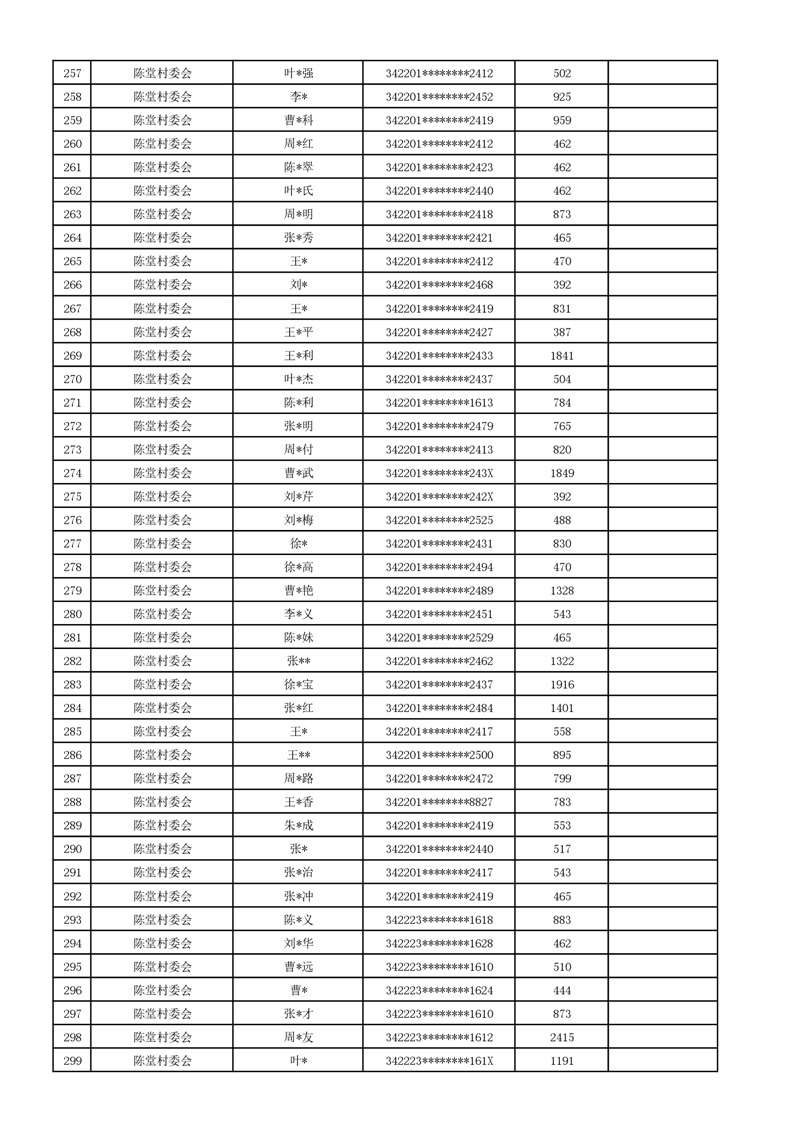
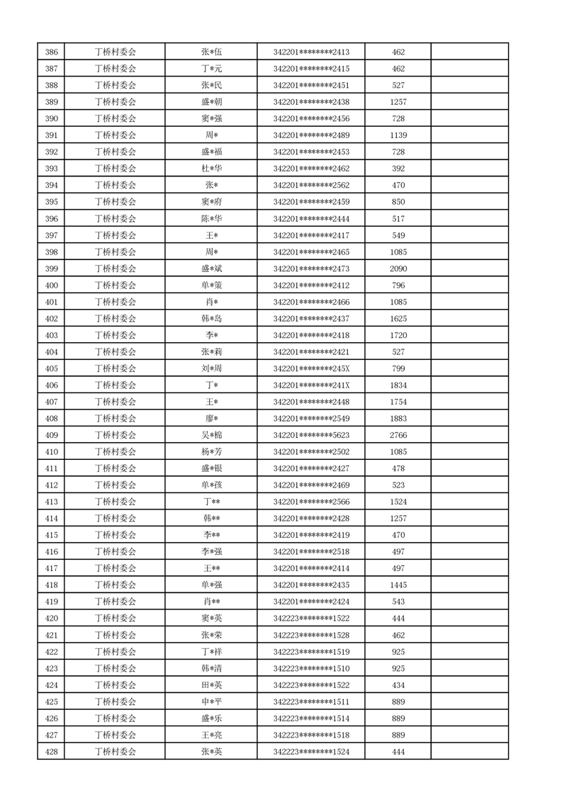
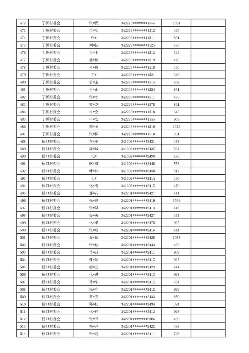
名  称: 芦岭镇2023年11月城乡低保资金发放情况
词:

芦岭镇2023年11月城乡低保资金发放情况

文章来源: 芦岭镇人民政府 浏览量: 发表时间:2023-11-09 11:20 责任编辑: 芦岭镇人民政府
字体大小:【    】
























Baidu
map